Why is Biodiversity Important to Continued Evolution

Endless forms. Evolutionary scenarios to unravel biodiversity

The future of biodiversity on Earth: The importance of preserving the phylogenetic and functional diversity of the planet

Daniel Sol (a)

Spanish National Science Research Council (CSIC), Espa�a

Ecological and Forestry Applications Research Centre (CREAF) in Bellaterra (Spain), Espa�a

The future of biodiversity on Earth: The importance of preserving the phylogenetic and functional diversity of the planet

M�tode Science Studies Journal , vol. 10 , pp. 175-181, 2020

Universitat de Val�ncia

Recepci�n: 10 Abril 2019

Aprobaci�n: 10 Julio 2019

Abstract: The extraordinary biodiversity of Earth is currently threatened by the destruction of natural habitats, climate change, invasive species, and overexploitation. More and more, ecologists are starting to recognise that preserving the maximum number of species is insufficient. If we want to preserve functional ecosystems for the future and continue to enjoy their benefits, we must also protect phylogenetic and functional diversity. But to do this, it is not enough to delimit protected areas, we must also learn to combine the exploitation of resources with the preservation of key elements of biodiversity that guarantee the stability and functioning of ecosystems.

Keywords: global change, biodiversity loss, conservation, evolutionary recue, flexible rescue.

In 2010, the ecologist Robert May speculated in Science magazine that if an alien spaceship landed on planet Earth, the thing that would surprise its occupants the most would be its extraordinary biodiversity. �How many living beings are there?�, would be one of the first things they would ask. Ashamed, we would have to answer that we do not know for sure, that there are more than one and a half million documented species, but that the real figure could be well over 8.7 million. Next, we would have to explain to the newcomers that much of this biodiversity is disappearing quickly, often before we can even document it. �Has a meteorite recently hit the planet?� Has the Earth's orbit around the Sun changed?�, they would ask. Ashamed, again, we would have to answer that the current loss of biodiversity has nothing to do with any of these natural phenomena; that it is due to our own activities, which destroy habitats, change the climate, facilitate the expansion of invasive species, and overexploit natural resources. Our extra-terrestrial friends would be perplexed: �Are you not worried about this loss of biodiversity?� they would ask. �Is there no way to stop it?�

For many people, the loss of biodiversity is not something they worry about much. Beyond the sadness that the extinction of an emblematic species might cause (Figure 1), they do not see how the loss of microorganisms, plants, or animals could affect their lives. Reality is very different. For some time now, we have known that biodiversity is essential to our wellbeing and that if it continues to disappear, our future might be at risk. Biodiversity's footprint can be seen in the wide range of medicines, foods, materials, and other goods that we obtain from nature. Even more important, although less obvious, is the fact that biodiversity offers us ecosystem services without which our lives on this planet would be impossible. These services include, among many others, water and air purification, soil retention and fertilisation, maintenance of adequate climatic conditions, crop pollination, plant seed dispersion, pest and disease control, and the betterment of our health. If we want to keep enjoying these services in the future, we must find formulas to prevent biodiversity from continuing to diminish. As we will see in this article, achieving this is anything but trivial.


Figure 1

Martha, the last passenger pigeon, died at the Cincinnati Zoo in 1914. During the nineteenth century, they were considered the most abundant species on the planet, with an estimated population of between 3,000 and 5,000 million individuals. The extinction of this species is attributed to the destruction of its habitats and, above all, intensive hunting to feed slaves and for sport. In a hunting contest, winners would kill more than 30,000 individuals.

R. W. Shufeldt (1921). Public domain

Is species richness the only thing that matters?

The theory of island biogeography gives us a theoretical framework to think about how to preserve biodiversity. It was proposed by Robert MacArthur and Edward Wilson in the late 1960s to explain diversity on islands, and essentially tells us that if we assume that species behave similarly (known as �ecological equivalence�), the two key factors to understand diversity in a region are its area and degree of isolation in relation to other regions. The implications for diversity are obvious: if we reduce and fragment habitats, the diversity of species should decrease only by chance. Indeed, if we fragment a habitat, as has been done in many experiments (Ferraz et al., 2003), smaller areas tend to contain fewer species.

The theory of island biogeography has greatly influenced the general perception that what must be preserved is the richness of species. If species are ecologically equivalent, conservation efforts should focus on preserving the maximum number of species. Because the richness of species is unequally distributed throughout the planet, environmental alterations caused by humans do not have the same effect in all regions. Their effect should be greater in regions containing more endemic species, species which are not found in any other place on Earth. From this point of view, the alteration of natural habitats will have particularly serious consequences in tropical and subtropical regions (including Mediterranean regions), the so-called �hotspots� on earth where the greatest diversity of endemisms are concentrated.

A look at evolutionary past

Recently, ecologists have begun to reconsider whether focusing on the richness of species is enough to preserve biodiversity. One of the most controversial issues revolves around the importance of evolutionary history. We know that, throughout their history, some lineages have diversified more than others, either because they have accumulated species more quickly or because they have suffered fewer extinctions, or a combination of both processes. The result is that, while some species are related to many others, others are the only living representatives of whole lineages. This means that the extinction of species does not always have the same impact on the loss of evolutionary history.

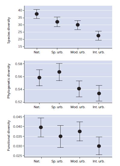
Growing evidence now indicates that the destruction of natural habitats not only reduces species diversity, but also reduces the diversity of evolutionarily distinctive species (Figure 2). Phylogenetic diversity can be measured by estimating the time a species split into two different species during evolutionary history. If most species in the ecosystem separated a long time ago, phylogenetic diversity will be greater than if they recently separated. By comparing phylogenetic diversity between urbanised areas and non-urbanised adjacent areas we can obtain raw estimations of the loss of evolutionary history associated with urbanisation. In birds, these estimations indicate that highly urbanised environments bear an average of 450 million years less evolutionary history than their surrounding natural environments (Sol, Bartomeus, Gonz�lez-Lagos, & Pavoine, 2017). It is not yet clear why species which are more evolutionarily distinctive are the first to disappear when their habitat is altered, but the fact that they have not had evolutionary success perhaps indicates that they are not ready to cope with environmental changes.

Figure 2
Figure 2

Loss of biodiversity in birds along urbanisation gradients of different regions of the planet. As shown, this loss does not only affect the number of species (taxonomic diversity), but also its phylogenetic diversity (the evolutionary history of species i.e., how long ago they became two different species) and functional diversity (the different functions that organisms have within ecosystems). Phylogenetic and functional diversity have been estimated by quadratic entropy which represents the probability (from 0 to 1) that two randomly chosen species from the community are, respectively, phylogenetically or functionally distant.

Abbreviations:

Nat. = Natural habitat

Sp. urb. = Sparsely urbanised

Mod. urb. = Moderately urbanised

Int. urb. = Intensely urbanized

Sol et al. (2017)

The ecological equivalence fallacy

Species do not only differ in their evolutionary history, but also in their role in the ecosystem. For some time now we have known that some species influence the way ecosystems work more than others. There are some species that act as true ecosystem engineers because they contribute to creating, maintaining, and altering the habitats in which they live. For example, in the region of the Serengeti (Tanzania) 29 species of herbivores coexist, but the functioning of the ecosystem depends mainly on one single species: wildebeest (Figure 3). More than 1.4 million wildebeest migrate through the region keeping the vegetation low and reducing the risk of fire, which modifies the ecosystem dynamics (see below).

Therefore, the ecological equivalence of island biogeography does not quite work as a theoretical framework to protect biodiversity. Organisms do not behave in equivalent ways but rather, have different functions within the ecosystems. In other words, they occupy different niches. This brings us to the concept of functional diversity. That is, the idea that the functional features of species also matter and should be protected. Let us consider the size and shape of a bird's beak. A thin, curved beak like the one of some hummingbirds, allows the bird to exploit the nectar of flowers and, by doing so, helps to pollinate plants. A short, thin beak is good for catching insects on the fly and helps keep insects controlled. If one of these functional features disappears from an ecosystem, the functioning of the ecosystem can be severely affected.


Figure 3

Each year, more than 1.4 million wildebeest travel approximately 1,000 kilometres between Tanzania and Kenya in �the great migration�. This trip lasts months and is full of dangers from many predatory species. Although there is controversy about why wildebeest undertake such a long trip, there is no doubt about its impact on the savannah. Their passage keeps the vegetation low and reduces the risk of fire and is essential for the functioning of the ecosystem. The image shows a herd of wildebeest in the Masai Mara reserve in Kenya.

Alan Green

Organisms in the face of human alterations

The theory of niches tells us that the adaptations of organisms determine where they can live and what their function in the ecosystem is. This theory is based on the idea that natural selection adjusts the phenotype of organisms (in other words, their morphology, physiology, and behaviour) to the environments they most often occupy. When the environment changes, there is a mismatch between the phenotype and the environment that can lead a species to extinction because of maladaptation, one of the main causes of species extinction. A recent analysis indicated that the rates of phenotypic change – indicators of adaptive mismatches – are considerably larger in environments altered by human activities than in natural ones (Alberti, Marzluff, & Hunt, 2017). However, not all species suffer when their environment is altered; in fact, this disruption is beneficial to some. The question we can ask is how these latter species manage to cope with alterations in their niche which cause maladaptations in other species.

One the most important discoveries made by evolutionary biologists since Darwin and Wallace proposed the theory of natural selection is the realisation that the process of adaptation can progress much faster than we originally thought. This has led to the suggestion of the concept of evolutionary rescue (Bell, 2017) i.e., the idea that natural selection can rescue populations that experience a change in the environment and favour the genetic variants that work best in the new scenario. A classic example is the evolution of melanism in the butterfly Biston betularia: dark individuals are rare in natural conditions yet they become dominant in industrial areas where a dark colour offers better camouflage against predators (Cook, Grant, Saccheri, & Mallet, 2012).

Even when the evidence that natural selection can facilitate evolutionary rescue is irrefutable, there are doubts about whether this is the main mechanism that allows some organisms to cope with alterations caused by human activities. One reason is that these alterations occur very quickly and involve challenges that might be quite different from those found in nature, thus perhaps making adaptation difficult. These difficulties are particularly relevant to long-lived organisms, including many vertebrates. A long generation time slows down the accumulation of beneficial mutations and means that changes in allelic frequencies occur more slowly, which limits the possibility of fast evolutionary responses.

An alternative mechanism to evolutionary rescue is phenotypic plasticity, the ability of organisms to express different phenotypes in different contexts. Behavioural plasticity is particularly relevant in animals. Through learning, for instance, animals can develop new behaviours and improve those already established in order to help them deal with a wide range of challenges such as deciding upon the best place to live, accessing new types of foods, or facing new enemies (Figure 4). In vertebrates, this learning ability is associated with a higher probability of surviving rapid environmental changes (Sol, Duncan, Blackburn, Cassey, & Lefebvre, 2005; Sol et al., 2012).


Figure 4

Behavioural plasticity is particularly relevant in animals to face environmental changes. For example, those living close to humans, like the wild boar in the picture, are starting to become more nocturnal. Nocturnal activity is advantageous because it reduces conflicts with people, one of the main risks of living in close proximity to humans.

Pxhere

The loss of ecosystem services

If the planet's species differ in the degree to which they are equipped to respond to changes and if the majority respond poorly to these changes, then the biodiversity present will not only be reduced, its functional composition will also change (Figure 2). Functional features that, like plasticity, protect organisms from changes in their niche are known as �response traits� in order to distinguish them from functional features that affect the functioning of ecosystems. The relationship between response traits and effect traits is still not clear but is likely to be close. All this means that changes in species' functional compositions associated with human activities can also lead to changes in the functioning of ecosystems and, consequently, in the ecosystem services that human societies depend upon (D�az & Cabido, 2001).

Some of these ecosystem services depend on the abundance of species – for example, forests regulating carbon sequestration, soil fertility, or water regulation depend on the most abundant species. Other services depend on the range of variation in functional features. Growing a range of crops protects from pests and allows food to be obtained in different environmental conditions and at different periods of the year. Finally, some services depend on certain features which are not particularly frequent. For example, the majesty of lions, together with their large size and aggressiveness, have made them one of the most important tourist attractions in Africa (Figure 5).


Figure 5

The African lion is a species classified as vulnerable on the Red List of endangered species published by International Union for the Conservation of Nature. However, it is still hunted for sport in many places in Africa.

Daniel Sol

Biodiversity and ecosystem functioning

Losing functional diversity does not only involve losing ecosystem services, but also alters the functioning of ecosystems and their stability over time. Understanding how biodiversity loss can affect ecosystem functioning is not a simple task because the relationship is not linear. The species within ecosystems form complex networks interacting with each other in different ways and with different intensities. This means that the extinction of certain species can have a greater impact than the extinction of others, a phenomenon known as the �selection effect�. In many cases, perhaps most cases, the loss of a species has no detectable consequences. In others, its loss can completely change the ecosystem. In Alaska, sea otters play a key role in maintaining the diversity of species in the ecosystem because, as their main prey, they control sea urchin populations. This prevents the overexploitation of kelp algae – the source of energy in the system. When otters disappear, as they did when they were hunted, kelp is overconsumed by sea urchins and diminishes. As a result, animals that use kelp algae for food or shelter also disappear. These types of sudden changes in the state of ecosystems are not infrequent in terrestrial and marine ecosystems, yet anticipating situations in which ecosystems are likely to sharply or irreversibly move from one state to another is challenging.

What we do know is that functional diversity can have important effects on the ecosystem functioning. Evidence shows, for instance, that diverse ecosystems are more productive, resistant to changes, and resilient in terms of their capacity to return to their initial conditions after alterations (Tilman, 1997). These properties can be explained by the principles of niche redundancy and complementarity. Ecosystems in which species are more complementary, that is, they occupy close but different niches, are usually more productive and resistant to invasions. But the absence of functional redundancies means that the extinction of only one species can alter the functioning of the ecosystem. When there is little complementarity and a lot of functional redundancy (in other words, there are several species with the same function), the ecosystem is not as productive or resistant to invasions but is more stable because the loss of a species does not alter the whole system.

The challenge of protecting biodiversity

Therefore, biodiversity cannot be reduced to counting species; we must also consider species abundance and their functional and phylogenetic characteristics. The challenge is knowing how we can simultaneously protect all these components of biodiversity. One possibility is the creation of protected areas. These are essential to protect particularly fragile species, large or dangerous animals, and entire ecosystems, but are not themselves problem-free. Protected areas must be large and well-connected to each other to be effective. However, this rarely happens because their limits are often defined by social or economic factors. In addition, protected areas depend on the influx of water and nutrients from the outside and therefore, they remain vulnerable to disturbances outside the limits of protection. Funding is another problem in protected areas, especially in very large areas and those located in developing countries. The need for funding can lead to conservation strategies that are difficult to justify. For example, lion hunting in Africa is justified because it finances protection of the areas in which the lions live (Figure 5). However, the prices hunters pay to kill lions are much lower than is required to cover the costs of protecting the large habitat extensions lions need (Whitman, Starfield, Quadling, & Packer, 2004).

Either way, concentrating diversity in �natural museums� is inadequate; it ignores the 50 % of species that do not live in protected areas. In addition, the existence of boundaries in protected areas means that they cannot easily accomodate changes. For example, the Serengeti is known worldwide for its extensive savannahs and the diversity of its large mammals. Its savannah is maintained by periodic fires, but extensive regions of it recently transformed into forest areas when the wildebeest population recovered after being almost wiped out by a viral epidemic (Sinclair et al., 2007). The large numbers of wildebeest currently present keep the vegetation low and thus, less fuel is available for burning in the natural fires. In turn, saplings are now able to grow and mature into trees. The difficulty of easily accommodating changes in protected areas implies that in the future, many protected areas will probably not contain the biodiversity they were aimed to protect, and this problem is likely to worsen with climate change.

The last reason that protected areas cannot sufficiently preserve biodiversity is that more than half the human population currently lives in urban areas and benefits directly from the biodiversity offered by these areas. Therefore, there is a growing need to promote local biodiversity in environments dominated by humans. This is complicated because of the aggressive urban development model that prevail in many regions of the planet. However, recent studies indicate that moderate levels of urbanisation can allow a lot of biodiversity (and their consequent ecosystem services) to be preserved (see Sol, Bartomeus, Gonz�lez-Lagos, & Pavoine, 2017) but requires good urban planning and appropriate policies in a context of rapid urban expansion.

The cost of preserving biodiversity

Most of current biodiversity is concentrated in developing countries that have few resources and many needs which limits their ability to make proactive conservation choices. Paradoxically, people from these countries are the most vulnerable to the loss of biodiversity, because their power economies do not allow them to replace ecosystem services for purchased goods, as people in the richest countries do. Therefore, protecting biodiversity requires eradicating poverty.

Biodiversity is a public asset that is not easy to assess economically and so its value is not usually considered in public policy. However, biodiversity has a huge impact on the economy. On the one hand, it offers key services that would otherwise involve expenses impossible to assume by governments. On the other hand, it can be a source of wealth generation and a way to reduce poverty, for instance through the payment of environmental services, sustainable exploitation of natural resources, and nature-based tourism. In Costa Rica, (one of the most biodiverse countries of the planet), between 1940 and 1970 approximately one quarter of the country's forests were cut down and converted into crops and pastures. The situation changed radically from the 1970s, when biodiversity began to be perceived as a good in itself. Currently, 25 % of Costa Rica's surface area is protected and its management is shared between the government and landowners. Benefits derived from ecotourism and the government's payment for environmental services such as carbon dioxide fixation or biodiversity maintenance, make it more profitable for landowners to preserve the forest rather than cutting it down.

The future of biodiversity

Most indicators do not allow us to be very optimistic about the future of biodiversity. Although more resources are being invested in conservation, the truth is that taxonomic, phylogenetic, and functional diversity continues to decline and the pressure faced by species continues to increase (Tittensor et al., 2014). The loss of local biodiversity, especially functional biodiversity, alters both ecosystem functioning and stability. At intermediate scales, such as those of landscapes, changes in ecosystem functioning can reduce the supply of services that human societies depend upon. Globally, biodiversity loss causes the irreversible loss of species. We now have enough scientific evidence to know what must be protected and how, but if we continue to underestimate the real value of biodiversity, not only will many species disappear irreversibly, we will also compromise the future of our own species.

References

Alberti, M., Marzluff, J., & Hunt, V. M. (2017). Urban driven phenotypic changes: Empirical observations and theoretical implications for eco-evolutionary feedback. Philosophical Transactions of the Royal Society B: Biological Sciences, 372(1712), 20160029. doi: 10.1098/rstb.2016.0029

Bell, G. (2017). Evolutionary rescue. Annual Review of Ecology, Evolution, and Systematics, 48, 605–627. doi: 10.1146/annurev-ecolsys-110316-023011

Cook, L. M., Grant, B. S., Saccheri, I. J., & Mallet, J. (2012). Selective bird predation on the peppered moth: The last experiment of Michael Majerus. Biology Letters, 8(4), 609–612. doi: 10.1098/rsbl.2011.1136

D�az, S., & Cabido, M. (2001). Vive la difference: Plant functional diversity matters to ecosystem processes. Trends in Ecology and Evolution, 16(11), 646–655. doi: 10.1016/S0169-5347(01)02283-2

Ferraz, G., Russell, G. J., Stouffer, P. C., Bierregaard, R. O., Pimm, S. L., & Lovejoy, T. E. (2003). Rates of species loss from Amazonian forest fragments. Proceedings of the National Academy of Sciences, 100(24), 14069–14073. doi: 10.1073/pnas.2336195100

May, R. M. (2010). Tropical arthropod species, more or less? Science, 329(5987), 41–42. doi: 10.1126/science.1191058

Sinclair, A. R. E., Mduma, S. A. R., Hopcraft, J. G. C., Fryxell, J. M., Hilborn, R., & Thirgood, S. (2007). Long-term ecosystem dynamics in the Serengeti: Lessons for conservation. Conservation Biology, 21(3), 580–590. doi: 10.1111/j.1523-1739.2007.00699.x

Sol, D., Bartomeus, I., Gonz�lez-Lagos, C., & Pavoine, S. (2017). Urbanisation and the loss of phylogenetic diversity in birds. Ecology Letters, 20(6), 721–729. doi: 10.1111/ele.12769

Sol, D., Duncan, R. P., Blackburn, T. M., Cassey, P., & Lefebvre, L. (2005). Big brains, enhanced cognition, and response of birds to novel environments. Proceedings of the National Academy of Sciences of the United States of America, 102(15), 5460–5465. doi: 10.1073/pnas.0408145102

Sol, D., Maspons, J., Vall-llosera, M., Bartomeus, I., Garcia-Pe�a, G. E., Pi�ol, J., & Freckleton, R. P. (2012). Unraveling the life history of successful invaders. Science, 337(6094), 580–583. doi: 10.1126/science.1221523

Tilman, D. (1997). The influence of functional diversity and composition on ecosystem processes. Science, 277(5330), 1300–1302. doi: 10.1126/science.277.5330.1300

Tittensor, D. P., Walpole, M., Hill, S. L. L., Boyce, D. G., Britten, G. L., Burgess, N. D., ... Ye, Y. (2014). A mid-term analysis of progress toward international biodiversity targets. Science, 346(6206), 241–244. doi: 10.1126/science.1257484

Whitman, K., Starfield, A.M., Quadling, H. S., & Packer, C. (2004). Sustainable trophy hunting of African lions. Nature, 428, 175–178 doi: 10.1038 / nature02395

Notas de autor

(a) Scientific researcher in the Spanish National Science Research Council (CSIC) at the Ecological and Forestry Applications Research Centre (CREAF) in Bellaterra (Spain). His research aims to understand how animals respond to environmental changes and the consequences of this for the loss of biodiversity. His most recent work focuses on the relationship between behaviour and life history strategies as a general mechanism for responding to changes.

gulleynowas1999.blogspot.com

Source: https://www.redalyc.org/journal/5117/511767145007/html/

0 Response to "Why is Biodiversity Important to Continued Evolution"

Post a Comment

Iklan Atas Artikel

Iklan Tengah Artikel 1

Iklan Tengah Artikel 2

Iklan Bawah Artikel